> 数据图表

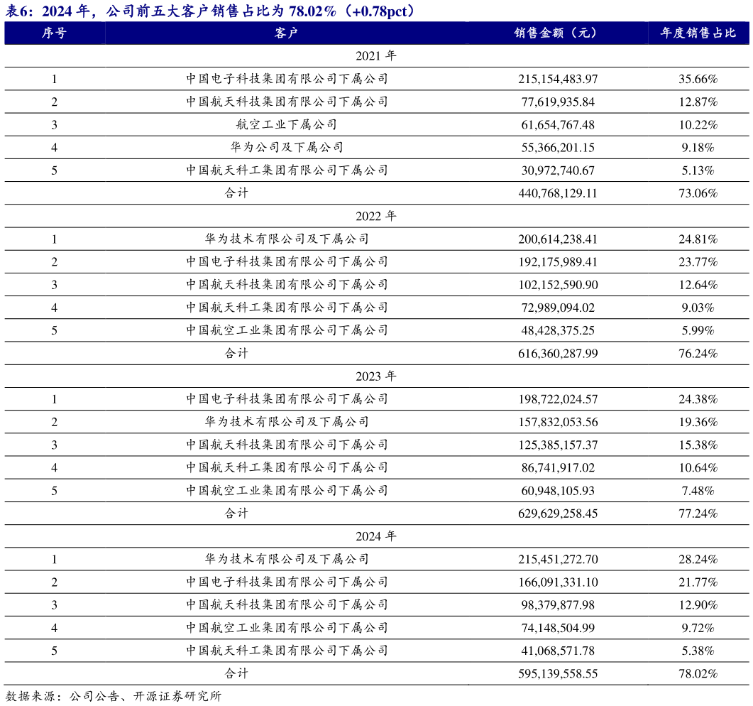
谁能回答2024 年,公司前五大客户销售占比为 78.02%(0.78pct)

2025-6-6
谁能回答2024 年,公司前五大客户销售占比为 78.02%(0.78pct)
公司客户主要分为防务型客户和民用通讯型客户,其中公司防务领域业务主要客户为中国航天科技集团、中国电子科技集团、中国航天科工集团及中国航空工业集团等国内集团下属企业或科研院所等,公司防务业务收入最终主要来源于国家的国防装备支出民用通讯领域主要客户为华为技术有限公司、RFS 等通讯行业头部企业。