> 数据图表

如何解释化工细分板块周涨跌幅(%)

2025-7-1
如何解释化工细分板块周涨跌幅(%)
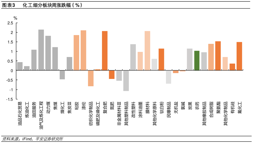
资料来源:iFind,平安证券研究所本周,申万三级化工细分板块中,涨跌幅排名前三的是油气及炼化工程(2.14%)、涤纶(2.11%)、复合肥(2.07%)。