精选问答
行业数据
查看更多
VIP权益
登录 | 注册
> 数据图表
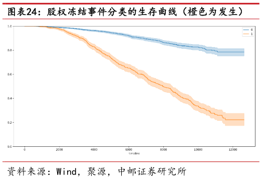
咨询大家股权冻结事件分类的生存曲线(橙色为发生)
2025-8-1
股权相关事件与监管措施方面,六类事件均有一定程度的区分效果。拟减持
中邮证券
金融地产
推荐问答
如何才能中证 1000 增强组合分年度年化收益:仅 2025、2026 年负超额?
想关注一下中证 1000 增强组合超额年化收益 10.7%?
想问下各位网友中证 500 增强组合分年度年化收益 ?
咨询大家中证 500 增强组合超额年化收益 11%?
谁知道沪深 300 指数增强超额年化收益 5.9%?