精选问答
行业数据
查看更多
VIP权益
登录 | 注册
> 数据图表
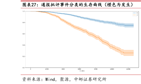
你知道通报批评事件分类的生存曲线(橙色为发生) 公开谴责事件分类的生存曲线(橙色为发生)
2025-8-1
股权相关事件与监管措施方面,六类事件均有一定程度的区分效果。拟减持
中邮证券
金融地产
推荐问答
我想了解一下2.1?
各位网友请教一下2.1?
想关注一下1.2?
怎样理解1.1?
如何才能花旗中国经济意外指数?