> 数据图表

怎样理解2025 年小吃快餐人均消费占比(%)

2026-3-4
怎样理解2025 年小吃快餐人均消费占比(%)
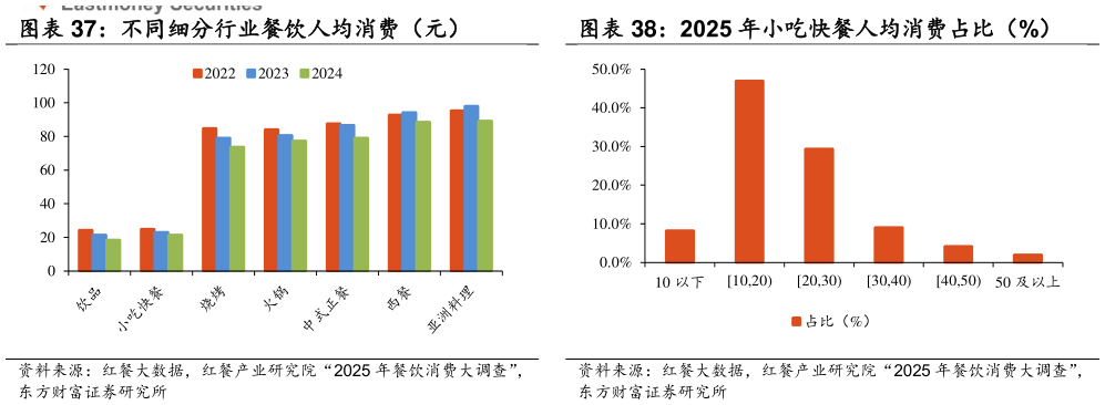
小吃快餐行业规模破万亿,成长性居前。据红餐大数据,2020-2024 年全国小吃快餐行业规模从 6473 亿元增长至 10075 亿元,占总社零餐饮比例从16.38%提升至 18.08%,预计 2025 年增长至 10800 亿元,同增 7.2%,占比预计提升至 18.63%,截至 2025 年 3 月,全国小吃快餐总门店数超过 360 万家。从市场规模增速角度,2024 年饮品成长性领先,其次为小吃快餐行业,分别同增 11.2%7.5%。